Trong bài viết hôm nay chúng ta cùng tìm hiểu kiến thức và bài tập về công thức số hữu tỉ. Các bạn nắm rõ thật kỹ để giải các bài tập nhanh và chính xác nhé.
1. Công thức nhân chia số hữu tỉ

>>Xem thêm: Số hữu tỉ là gì? Những kiến thức quan trọng số hữu tỉ.
Một số bài tập nhân chia số hữu tỉ
Bài 3 trang 11 toán 7


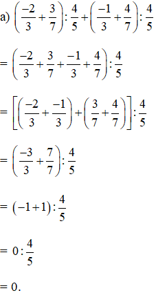
Bài 11 SGK toàn 7 tập 1 Tính giá trị biểu thức

>>Xem thêm: Tổng hợp bài tập nhân chia số hữu tỉ chi tiết.
Bài 12 SGK toàn 7 tập 1 Biểu diễn số hữu tỉ -5/16


Bài 13 (trang 12 SGK Toán 7 Tập 1): Tính


Bài 14 (trang 12 SGK Toán 7 Tập 1) Điền số hữu tỉ vào ô trống


Bài 15 (trang 13 SGK Toán 7 Tập 1): Đố em hãy tìm cách “nối” các số ở những chiếc lá bằng dấu các phép tính cộng trừ nhân chia và dấu ngoặc để được một biểu thức có giá trị đúng bằng số ở bông hoa.


Bài 16 (trang 13 SGK Toán 7 Tập 1): Tính


















