Phân số bằng nhau là chủ đề được học từ Toán tiểu học. Vậy khi nào thì hai phân số được coi là bằng nhau và chúng có những tính chất gì? Hãy cùng tham khảo nội dung của bài viết dưới đây để hiểu rõ về chủ đề này nhé.
Khái niệm phân số bằng nhau
Hai phân số và
được coi là bằng nhau khi a*d = b*c.
Viết ngắn gọn là:
a*d = b*c được gọi là điều kiện bằng nhau của hai phân số và
.
Như vậy, để xác định rằng hai phân số có bằng nhau hay không thì bạn chỉ cần so sánh tích chéo giữa tử số và mẫu số của hai phân số đó. Nếu tích bằng nhau thì hai phân số bằng nhau, nếu tích khác nhau thì hai phân số không bằng nhau.
Một số ví dụ về hai phân số bằng nhau:
vì 1*6 = 2*3 = 6
vì 3*10 = 5*6 = 30

Tính chất của hai phân số bằng nhau
Nếu hai phân số bằng nhau thì ta có những tính chất sau:
Tính chất 1: Nhân cả tử số và mẫu số của một phân số với 1 số tự nhiên khác 0 thì ta được 1 phân số bằng với phân số đã cho.
Ví dụ:
Cho hai phân số: . Khi nhân cả tử số và mẫu số của
với 3 thì ta được phân số
còn lại.
Tính chất 2: Chia cả tử số và mẫu số của một phân số cho 1 số tự nhiên khác 0 thì ta được 1 phân số bằng với phân số đã cho.
Ví dụ:
Cho 2 phân số . Khi chia cả tử số và mẫu số của
cho 2 thì ta được phân số
.
Bài tập về phân số bằng nhau và đáp án
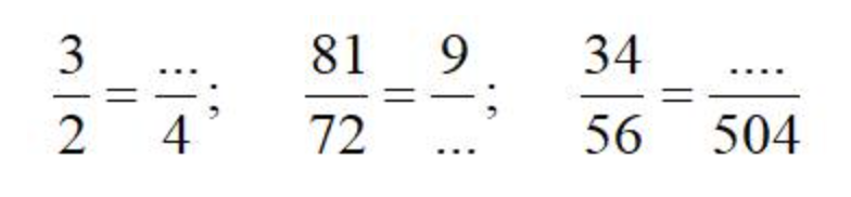
Bài 1: Điền số thích hợp vào chỗ trống

Lời giải:
Áp dụng tính chất của hai phân số bằng nhau:
- Nhân cả tử số và mẫu số của một phân số với 1 số tự nhiên khác 0 thì ta được 1 phân số bằng với phân số đã cho.
- Chia cả tử số và mẫu số của một phân số cho 1 số tự nhiên khác 0 thì ta được 1 phân số bằng với phân số đã cho.
Ta có đáp án của bài tập như sau:

Bài 2: Điền số thích hợp vào chỗ trống:

Lời giải: Áp dụng tính chất của hai phân số bằng nhau để điền số thích hợp vào chỗ trống:

Bài 3: Thực hiện phép chia với các số. nhỏ hơn theo mẫu.
Mẫu: 60 : 20 = (60 : 10 ) : (20 : 10) = 6 : 2 = 3
a) 75 : 25 = (75 : …) : (25 : 5) = ……
b) 90 : 18 = (90 : …) : (18 : 9) = …..
Lời giải:
a) 75 : 25 = (75 : 5) : (25 : 5) = 15 : 5 = 3
b) 90 : 18 = (90 : 9) : (18 : 9) = 10 : 2 = 5
Bài 4: Tính rồi so sánh kết quả thu được:
a) 18 : 3 và (18 x 4) : (3 x 4)
b) 81 : 9 và (81 : 3) : (9 : 3)
Lời giải:
Áp dụng tính chất của hai phân số bằng nhau: Nếu nhân (hoặc chia) số bị chia và số chia với (cho) cùng một số tự nhiên khác 0 thì giá trị của thương không thay đổi.
Biểu thức có dấu ngoặc thì tính trong ngoặc trước, ngoài ngoặc sau.
Đáp án:
a) 18 : 3 = 6
(18 x 4) : (3 x 4) = 72 : 12 = 6
Vậy kết quả của 18 : 3 và (18 x 4) : (3 x 4) bằng nhau.
b) 81 : 9 = 9
(81 : 3) : (9 : 3) = 27 : 3 = 9
Vậy kết quả của 81 : 9 và (81 : 3) : (9 : 3) bằng nhau.
Trên đây là khái niệm, tính chất và bài tập về phân số bằng nhau. Mong rằng qua nội dung trong bài viết sẽ giúp các em hiểu rõ hơn về cách xác định hai phân số có bằng nhau hay không và áp dụng hiệu quả vào quá trình học tập.



















